[摘要]在过去十年里,作者所在的课题组设计并研究了一种延缓性能衰减的新方法,即多功能隔膜修饰。基于此,本文回顾的工作是锂离子电池设计中的隔膜组分进展,与其它部分相比,隔膜的表征较为容易,可以在电池拆卸后进行清晰表征,而且,作者等人采用的材料均为低成本材料(低于3美元/千克),因此可以很容易地加工并集成到现有的隔膜生产线中。
电动汽车要想真正普及,对锂离子电池的使用寿命要求很高,几乎维持在10年左右。在本文中,以色列科学家DoronAurbach等人综述了自2016年以来,多功能隔膜材料对电池中锰元素的溶解抑制进展,以及对锂离子电池性能衰减的最新认识。一般来说,多功能隔膜(MFSs)可捕获锰离子、清除电池中的酸性组分,甚至提供碱金属离子,从而提高电池在循环期间的容量保留率和倍率性能。在大部分多功能隔膜的文章中,正极一般为LiMn2O4 (LMO),LiNi0.6Mn0.2Co0.2O2 (NCM622)或LiNi0.5Mn1.5O4 (LNMO),负极为石墨,电解液为LiPF6/混合有机碳酸盐,常见的表征手段有XRD, ICP-OES, XANES, HR-SEM, FIB-SEM和MAS-NMR。本文不仅对多功能隔膜的当前挑战、机遇和未来进行综述,并且发布了一些较新的数据作为支撑。
汽车电动化是当今汽车运输业的革命性变革之一,为了适应这种变革,锂离子电池(LIBs)在可预见的未来将成为汽车电动化的主要技术选择。与便携式电子产品和电网存储电池市场中的锂电池相比,电动汽车要求锂电池具有更高的占空比(即宽工作温度和高充放电速率)与耐久性(预期寿命为10年)方面。因此,尽管目前在各种正负极活性材料的开发方面取得了稳步而显著的进展。锂离子电池在行驶里程与快速充电能力上,仍有相当大的挑战。尖晶石型LMO正极具有较宽的温度范围、可接受的能量密度、较高的热稳定性、较低的成本以及无毒等优点,但材料中的锰很容易在电解液中溶解。
电池常见的衰减模式有三种:(1) DMDCR衰减,一般为过渡金属(尤其是锰离子)从正极溶解,然后通过电解液迁移并沉积到负极SEI上;(2)材料电化学活性和可传输锂离子的减少;(3)电解液分解,在负极还原,在正极氧化,并且伴随着产气现象。在真实电池中,往往三种衰减模式都存在,无论正极活性材料的结构或组成如何,所有锂离子电池中都存在机制2和3。
近年来,科学家们提出了几种延缓锂离子电池性能衰减的方法:(1)在LMO晶格中进行阴阳离子取代,(2)锰离子阻挡层,(3)在活性材料或电极上进行ALD涂层,(4)电解液添加剂,(5)降低SOC范围。然而,事实证明,以上方法均不能100%有效。在过去十年里,作者所在的课题组设计并研究了一种延缓性能衰减的新方法,即多功能隔膜修饰。基于此,本文回顾的工作是锂离子电池设计中的隔膜组分进展,与其它部分相比,隔膜的表征较为容易,可以在电池拆卸后进行清晰表征,而且,作者等人采用的材料均为低成本材料(低于3美元/千克),因此可以很容易地加工并集成到现有的隔膜生产线中。
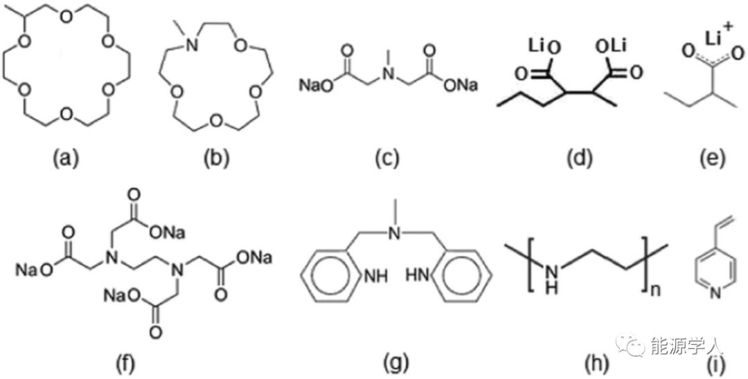
上图列举出了一些通过化学修饰得到的功能化隔膜,可以有效阻止锰溶解和酸清除,其中(a)为18-冠-6,(b)为aza-15-冠-5,(c)为亚氨基二乙酸二钠(IDANa2),(d)为马来酸二锂(MALi2),(e)为丙烯酸锂(LiAA);(f)为乙二胺四锂(Li4EDTA),(g)为双吡啶(BPA),(h)为聚乙烯亚胺(PEI)和(i)4-乙烯基吡啶(4VP)。虽然冠醚类聚合物可以良好的捕获锰离子,但其在实际电池中的使用成本高得令人望而却步,商用离子交换树脂和化合物的成本较低,有望代替冠醚类聚合物。
研究隔膜对过渡金属离子溶解的抑制非常有意义,如上图所示,各种证据都表明电解液中的锰离子主要为三价而不是二价。这一结果无论在LMO//graphite电池中(J.Am. Chem. Soc., 139, 1738 (2017).),还是LNMO//graphite电池中(Anal. Chem., 88, 4440 (2016).),都是有充分证据证明的,只是离子的比例不同而已。此外,不同材料对各种过渡金属离子的捕获能力也有着很大差异,原则上,可以根据锂离子电池采用的特定正极来调整捕获隔膜材料的选择。值得注意的是,除了TM离子捕获能力外,化学修饰隔膜材料的实际生产还需要考虑其它因素,比如易加工性、机械性能、电池环境中的耐化学性和成本等等。
【研究内容】
Doron Aurbach课题组测试的锂电池一般为2023型纽扣电池(2–3 mAh)和单层软包电池(50 mAh),正极为LMO, NCM622或LNMO,负极为石墨,电解液为1M LiPF6溶于EC/DMC/EMC,比例一般为1:1:1或2:2:6 (v/v)。采用商业PP隔膜或者PVDF-HFP隔膜作为对照,循环前后进行NMR表征,如上图所示,为带有poly(4VP)填料的隔膜SEM图,可以看出隔膜由大孔隙网络组成(图a),这些大孔被PVDF-HFP(图b)包围,大孔中被团聚的poly(4VP)填充(图c),填料团聚形成纳米孔(图d)。
上表对比了不同隔膜在LMO//graphite和NCM622//graphite电池中的电化学表征和锰离子捕获性能,从表中可以看到一些很明显的趋势,比如在循环过程中,锰捕获隔膜对LMO//graphite电池容量保留率的提高取决于电池测试温度。在30℃时循环100圈和30天,锂捕获隔膜电池的容量比商业隔膜高出10%至17%;在55℃时循环100圈和30天,锂捕获隔膜电池的容量比商业隔膜高出20%至38%。同时,在30℃下循环时,石墨电极中的锰含量减少5至24倍,在55℃循环时,减少4至21倍。
上图a表示在55℃下LMO//graphite和NCM622//graphite电池(带商业隔膜和poly(4VP)隔膜)的循环数据,可以显著的看出,采用poly(4VP)隔膜的电池在循环中使LMO//graphite电池的容量保留率提高2倍,同时还将石墨电极上沉积的锰量减少了4.8倍。由于该隔膜不捕获锰离子,而是清除酸性物质,因此该数据提供了利用隔膜进行酸清除,从而抑制LMO//graphite电池中锰溶解的直接证据。此外,在不受锰溶解影响的NCM622//graphite电池中,poly(4VP)隔膜使得沉积在石墨负极上的锰量仅从167 ppm减少到102 ppm,减少了39%。
图b则进一步说明了,酸清除隔膜抑制锰溶解的重要性,在该图中,将传统隔膜(PP)、酸清除隔膜(poly(4VP))和两个锰捕获隔膜(poly(IDANa2)和Na4EDTA)在NCM622//graphite纽扣电池中进行对比,四种隔膜的容量保留率排名为:PP< Na4EDTA < poly(IDANa2) << poly(4VP)。图c和d对poly(4VP)和PP隔膜在LNMO//graphite电池中进行测试,作者发现,在120圈循环中,具有poly(4VP)隔膜的三个电池的平均容量损失率从0.01%到0.11%不等,且石墨电极上的过渡金属镍的量减少了25倍,这就是说,容量保持率的稳定不是由于锰溶解被大幅度抑制,而是通过将锰溶解量保持在性能衰减阈值以下。
为了检验多功能隔膜在实际电池生产中的可行性,作者制造了三个poly(IDANa2)隔膜(MFS 1-1,MFS 1-2,MFS 1-4),其厚度与商业隔膜(10和25 μm)相似。如上图a所示, poly(IDANa2)隔膜在LMO//graphite电池中的容量保持率显著高于与商业隔膜的容量保持率,即便在循环中,MFS 1-1隔膜的锰捕获能力已经饱和。在图b和c中,可以看到含有MFS 1-1隔膜的电池在循环后,石墨负极上没有锰,这清楚地表明,在电池中,采用多功能隔膜可以提高容量保持率和延长电池寿命。
从上图中可以看出,电池在循环12圈后,含有MFSs隔膜的电池,其石墨电极的阻抗比含有商业PP隔膜的电池负极阻抗小4到6倍;同样,在循环12圈后,含有MFSs隔膜的电池,其LMO电极的阻抗比含有商业PP隔膜的电池正极阻抗小3倍左右。阻抗的减少清楚地表明了多功能隔膜有效抑制SEI的生长,从而提高了循环过程中的功率保持能力和容量利用率,或者说,提高了电池的健康状态和耐久性。
通过扫描电镜SEM和电子能谱EDX对循环后石墨电极上的纤维横截面进行检测,即可发现导致阻抗降低的主要原因。从上图a和b中可以清楚地看见,当循环结束后,使用商业隔膜的电池中石墨电极上的SEI比使用MFS 1-1隔膜的电池石墨电极上的SEI要厚得多,且从图c中可以看出SEI的厚度,分别为18μm和30μm。此外,图c还揭示了两个电极上SEI形态的另外两个重要差异,首先,在存在MFS 1-1隔膜的情况下,SEI厚度分布的范围比在存在PP隔膜的情况下要小得多:分别小于250 nm和大于350 nm;其次,用PP隔膜的电池在循环后,石墨电极上的SEI很小,大约1%的SEI厚度小于50纳米,这表明SEI中存在非常小或非常窄的区域(针孔或沟槽),这些区域会对电池性能造成问很大题,因为它们容易发生镀锂现象,并且会产生不均匀的电流分布,在电池循环过程中出现局部过充电和过放电。
相比之下,在使用MFS 1-1隔膜循环的石墨电极上,SEI更加紧凑和均匀。除了含有两个隔膜的电池SEI有物理差异外,EDX、19F-MASNMR和FTIR揭示的化学组成也存在差异,在图e和f中,显示了图d中标记有两个红点区域的EDX光谱,可以看出,两个采样区域的f:p比率完全不同。此外,除了样品内部的不均匀性外,两个电极SEI中的f:p比率也存在明显的差异,MFS 1-1隔膜电池中SEI内部的f:p比率接近6,这表明在mfs 1-1隔膜存在下,PF6-阴离子比在PP隔膜存在下更稳定。
【结论与展望】
综上所述,作者在文中证明了,多功能化学活性隔膜可以改善具有不同过渡金属氧化物正极和石墨负极电池的倍率性能、容量利用率和保留率,并且采用的隔膜均为低成本,物理特性(厚度和多孔性)也与商业隔膜一致。性能的提高可以通过观察到的阻抗大大降低证明。此外,多功能隔膜无论在高温还是低温下,都对过渡金属离子的溶解有着抑制作用,只是有的隔膜能捕获离子,有的利用酸清除实现抑制。除了提高LMO//graphite电池的性能外,酸清除隔膜还可以提高NMC622//graphite和LNMO//graphite电池的循环容量保持率,因为它们真正解决了电解液引发的电池衰减的根本原因:电解质溶液的酸化,会导致与过渡金属离子溶解无关的寄生反应。因此,酸清除似乎是一种可行的和更广泛适用的策略,以提高锂离子电池的性能和耐久性。
转载请注明出处。
1.本站遵循行业规范,任何转载的稿件都会明确标注作者和来源;2.本站的原创文章,请转载时务必注明文章作者和来源,不尊重原创的行为我们将追究责任;3.作者投稿可能会经我们编辑修改或补充。


热点推荐
精选导读


关注我们